| Předchozí | Další | Dolů | Obsah |
J) Matematika
Matematický režim se nastaví vstupem do jednoho z dále uvedených prostředí. V těchto prostředích nesmí být žádný prázdný řádek. V matematickém režimu se používají fonty nezávislé na nastaveních vně matematického prostředí s výjimkou nastavení velikosti - to platí i po vstupu do matematického režimu.
Některá prostředí zařizují automatické číslování rovnic. Číslo je odvozeno od pořadí rovnice a od čísla oddílu, ve kterém se nachází. Uživatel může standartně číslování ovlivnit jen způsobem "tuto rovnici čísluj - nebo nečísluj" s jednou výjimkou - v TeXovském prostředí $$ $$ funguje TeXovský příkaz \eqno - a to tak, že na okraj stránky přidá řetězec, který následuje za \eqno (např. $$x^2+3=4 \eqno(2) $$).
Pozn. TeXovské prostředí $$ $$ nezvyšuje hodnotu čítače rovnic equation. Pokud tuto hodnotu chceme zvýšit o jedničku i v tomto případě, pak (nejlépe dovnitř $$ $$) umístíme příkaz \refstepcounter{equation}.
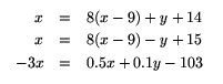
Příklad1:
\begin{eqnarray}
x &= & 8(x-9) + y + 14 \nonumber \\
x &= & 8(x-9) - y + 15 \\
-3x &= & 0.5x + 0.1 y - 103
% příkaz \\ za posledním řádkem by LaTeX pochopil
% jako že má následovat ještě jedna rovnice a
% očísloval by prázdný řádek
\end{eqnarray}

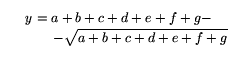
Příklad2:
\begin{eqnarray*}
\lefteqn{y=a+b+c+d+e+f+g-} \\
& & -\sqrt{a+b+c+d+e+f+g}
\end{eqnarray*}

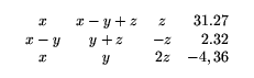
Příklad3:
\begin{equation}
\begin{array}{ccc@{\quad}r}
x & x-y+z & z & 31.27 \\
x-y & y+z & -z & 2.32 \\
x & y & 2 z & -4,36 \\
\end{array}
\end{equation}

$$\left( \begin{array}{ccc@{\ }r}
a & b & c & -10.15 \\
a & b & c & 3.1 \\
a & 0.3 b & 0.1c & -24 \\
\end{array} \right)$$

$$f(x) = \left\{ \begin{array}{r@{\quad}c}
y, & x > \pi \\
-y, & x \leq \pi \\ \end{array} \right.
$$

Matematické symboly:
| \leftarrow | \Leftarrow | \longleftarrow | \Longleftarrow |
| \leftrightarrow | \Leftrightarrow | \longleftrightarrow | \Longleftrightarrow |
| \hookleftarrow | \leftharpoonup | \leftharpoondown | \rightleftharpoons |
| \uparrow | \Uparrow | \downarrow | \Downarrow |
| \updownarrow | \Updownarrow | \nearrow | \searrow |
| \swarrow | \nwarrow | \mapsto | \longmapsto |
| \leadsto |
a ještě slova, kde je right místo left (kromě těch, kde je left i right)
| \leq | \geq | \prec | \succ |
| \preceq | \succeq | \ll | \gg |
| \subset | \supset | \subseteq | \supseteq |
| \sqsubset | \sqsupset | \sqsubseteq | \sqsupseteq |
| \in | \ni | \vdash | \dashv |
| \equiv | \sim | \simeq | \asymp |
| \approx | \cong | \neq | \doteq |
| \propto | \models | \perp | \mid |
| \parallel | \bowtie | \Join | \smile |
| \frown |
pozn: pro \Join je potřeba standartní balík latexsym
| \pm | \mp | \times | \div | \ast |
| \star | \circ | \bullet | \cdot | \cap |
| \cup | \uplus | \sqcap | \sqcup | \vee |
| \wedge | \setminus | \wr | \diamond | \bigtriangleup |
| \bigtriangledown | \triangleleft | \triangleright | \lhd | \rhd |
| \unlhd | \unrhd | \oplus | \ominus | \otimes |
| \oslash | \odot | \bigcirc | \dagger | \ddagger |
| \amalg |
pozn: pro \lhd, \rhd, \unlhd a \unrhd je potřeba standartní balík latexsym
| \sum | \prod | \coprod | \int | \oint |
| \bigcap | \bigcup | \bigsqcup | \bigvee | \bigwedge |
| \bigdot | \bigotimes | \bigoplus | \biguplus |
Příklad: $$\sum_{i=0}^\infty g_i$$ nebo $$\int_0^\infty f\,dx$$ V samostatném (vysázeném) vzorci se indexy k těmto symbolům umisťují nad a pod na rozdíl od vzorce v textu. TeXovský příkaz \limits (napsaný těsně za symbolem) však umožňuje i v textu vnutit psaní indexu nad a pod, např: $\int\limits _0^1$. Pokud chceme, aby indexy nebyly nad a pod i ve vysázeném vzorci, můžeme použít analogický příkaz \nolimits.
| \aleph | \hbar | \imath | \jmath | \ell |
| \wp | \Re | \Im | \mho | \prime |
| \emptyset | \nabla | \surd | \top | \bot |
| \| | \angle | \forall | \exists | \neg |
| \flat | \natural | \sharp | \backslash | \partial |
| \infty | \Box | \Diamond | \triangle | \clubsuit |
| \diamondsuit | \heartsuit |
pozn: pro \Box a \Diamond je potřeba standartní balík latexsym
| \arccos | \arcsin | \arctan | \arg | \cos | \cosh | \cot |
| \coth | \csc | \deg | \det | \dim | \exp | \gcd |
| \hom | \inf | \ker | \lg | \lim | \liminf | \limsup |
| \ln | \log | \max | \min | \Pr | \sec | \sin |
| \sinh | \sup | \tan | \tanh |
| \alpha | \betta | \Gamma | \gamma | \Delta | \delta |
| \epsilon | \varepsilon | \zeta | \eta | \Theta | \theta |
| \vartheta | \iota | \kappa | \Lambda | \lambda | \mu |
| \nu | \Xi | \xi | \o | \Pi | \pi |
| \varpi | \varrho | \Sigma | \sigma | \varsigma | \tau | \Phi | \phi | \varphi | \chi |
| \Psi | \psi | \Omega | \omega |
| ( ) | [ ] | \{ \} | \langle | \rangle | \lfloor | \rfloor | |
| \lceil | \rceil | \uparrow | \downarrow | \updownarrow | \Uparrow | ||
| \Downarrow | \Updownarrow | | | \| | / | \backslash |
Pokud má na jedné straně závorka chybět, je třeba místo oddělovače použít tečku. Příklad:
$$f(x) = \left\{ \begin{array}{r@{\quad}c}
y, & x > \pi \\
-y, & x \leq \pi \\ \end{array} \right.
$$
| \hat{}, | \tilde{}, | \bar{}, | \vec{}, | \dot{}, | \ddot{} (dvě tečky), |
| \acute{} (čárka) | |||||
Horní index - naprostá analogie se spodním indexovánim, pouze místo podtržítka je nyní stříška (např. x^2).
Dají se samozřejmě vytvářet i indexy k indexům (např. x_{2_1}, ale musí se dát pozor na závorky - např. \int_0^1 je integrál od nuly do jedné;
Zlomky: vytváří se pomocí \frac{čitatel}{jmenovatel} (např. \frac{\sqrt{x}}{\pi}).
Některé další příkazy v matematickém režimu:
\widehat{} \widetilde{} \imath a \jmath (i a j bez tečky)
\stackrel{}{} (umístí první parametr v indexove velikosti nad
druhý parametr Příklad: $U\stackrel{lim}{\rightarrow}V$)
\underbrace{} a \overbrace{} (vytvoření vodorovné svorky pod
a nad objektem), ve vzorci mimo text lze \underbrace nebo \overbrace
opatřit indexem - pak se tento index umístí pod nebo nad svorku
(např. $$\underbrace{a_1+\overbrace{a_2+\cdots +a_9}^8+a_{10}}_{10}$$)
\sqrt[]{} (např. $\sqrt[m]{1+x}$ nebo $\sqrt[{\textstyle m}]{1+x}$)
\not - přeškrtnutí vpravo - znak za \not bude škrtnut; příklad: \not>; funguje tak, že se překrývá tento znak přeškrtnutí s následujícím znakem; polohu přeškrnutí vzhledem k objektu lze tedy ovlivnit vložením vhodné mezery mezi \not a znak; Pokud je znak symbol, vše funguje jak bylo řečeno, jinak může být potřeba uzavřít znak do složených závorek.
| Předchozí | Další | Nahoru | Obsah |